• Предмет: Математика
  • Автор: sd0718dr
  • Вопрос задан 3 года назад

**РЕШИТЕ ПОЖАЛУСТА сканави 1.039.**

**ОЧЕНЬ СРОЧНО РОСПИШИТЕ БЕЗ PHOTOMATH**

**ПОЖАЛУЙСТА ПЖ ПЖ ПЖ**

**ДАЮ 30 БАЛОВ**

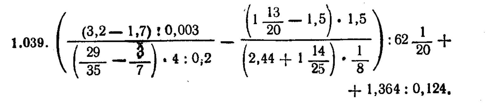
Приложения:

sd0718dr: ОЧЕНЬ СРОЧНО ПОЖАЛУЙСТА ПЖ ПЖ ПЖ
Universalka: Ответ : 12

Ответы

Ответ дал: ildar502020
1

Ответ:  12.

Пошаговое объяснение:

1)  3,2-1,7=1,5;

1.5:0.003=500;

-----------

2)  29/35-3/7=29/35-15/35=14/35;

14/35*4:0.2=56/35;0.2=56/35*10/2=56/35*5=8;

-----------

3)   1 13/20-1.5=1 13/20-1 1/2=13/20-10/20=3/20;

3/20*1.5=0.15*1.5=0.225;

------------

4)  2.44+1 14/25=2 11/25+1 14/25=3 25/25=4;

4*1/8=0.5;

----------------------------

5)  500:8=62.5;

6)0.225:0.5=0.45;

7)  62.5-0.45=62.05;

--------------

8)  62.05:62 1/20=62.05:62.05=1;

9)  1.364:0.124=11;

10)  1+11=12.


sd0718dr: спасибо!!!
Вас заинтересует