• Предмет: Математика
  • Автор: ruslanka1713
  • Вопрос задан 3 года назад

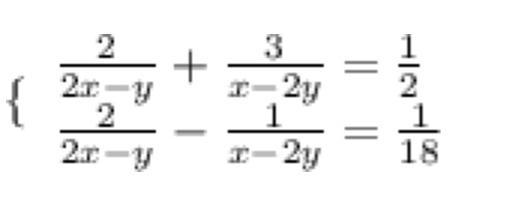
Розв’яжіть систему рівнянь

Приложения:

Ответы

Ответ дал: NNNLLL54
2

Ответ:

Обозначим  u=\dfrac{1}{2x-y}\ \ ,\ \ v=\dfrac{1}{x-2y}  ,  тогда система  

\left\{\begin{array}{l}\dfrac{2}{2x-y}+\dfrac{3}{x-2y}=\dfrac{1}{2}\\\dfrac{2}{2x-y}-\dfrac{1}{x-2y}=\dfrac{1}{18}\end{array}\right    примет вид    \left\{\begin{array}{l}2u+3v=\dfrac{1}{2}\\2u-v=\dfrac{1}{18}\end{array}\right   .

Вычтем из первого  уравнения второе , получим

\left\{\begin{array}{l}2u+3v=\dfrac{1}{2}\\4v=\dfrac{1}{2}-\dfrac{1}{18}\end{array}\right\ \ \left\{\begin{array}{l}2u+3v=\dfrac{1}{2}\\4v=\dfrac{4}{9}\end{array}\right\ \ \left\{\begin{array}{l}2u=\dfrac{1}{2}-3v\\v=\dfrac{1}{9}\end{array}\right\ \ \left\{\begin{array}{l}2u=\dfrac{1}{2}-\dfrac{1}{3}\\v=\dfrac{1}{9}\end{array}\right  

\left\{\begin{array}{l}\ u=\dfrac{1}{12}\\v=\dfrac{1}{9}\end{array}\right\ \ \left\{\begin{array}{l}\ \dfrac{1}{2x-y}=\dfrac{1}{12}\\\dfrac{1}{x-2y}=\dfrac{1}{9}\end{array}\right\ \ \left\{\begin{array}{l}2x-y=12\\x-2y=9\end{array}\right    

Выразим  х  из второго уравнения и подставим в первое .

\left\{\begin{array}{l}2(9+2y)-y=6\\x=9+2y\end{array}\right\ \ \left\{\begin{array}{l}18+3y=12\\x=9+2y\end{array}\right\ \ \left\{\begin{array}{l}3y=-6\\x=9+2y\end{array}\right\ \ \left\{\begin{array}{l}y=-2\\x=5\end{array}\right

Причём получили значения переменных , которые удовлетворяют неравенствам  2x\ne y\ ,\ x\ne 2y  .

Ответ:  ( 5 ; -2) .

Вас заинтересует