Ответы
Ответ дал:
1
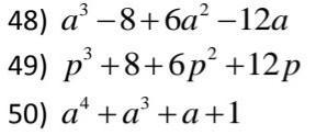
Розв'язання завдання додаю.
Приложения:

Вас заинтересует
2 года назад
2 года назад
2 года назад
2 года назад
7 лет назад
7 лет назад
9 лет назад