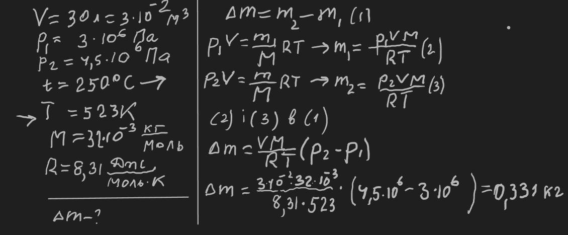
Скільки кисню потрібно закачати в балон об’ємом 30 л , щоб
його тиск збільшився з 3 МПа до 4,5 МПа при температурі 250С
tarasabc:
15 літрів
Ответы
Ответ дал:
1
Відповідь: 331 г
Пояснення:
Приложения:

Вас заинтересует
2 года назад
2 года назад
2 года назад
2 года назад
7 лет назад
9 лет назад