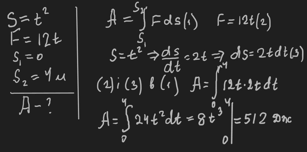
Матеріальна точка масою m рухається прямолінійно по гладкій горизонтальній площині за законом S=t^2 . Під дією сили F=12t. Визначити роботу сили при переміщенні її точки прикладення з початкового положення S1=0, в положення, де S2=4м.
Ответы
Ответ дал:
0
Відповідь: 512 Дж
Пояснення:
Приложения:

Вас заинтересует
2 года назад
2 года назад
7 лет назад
7 лет назад
9 лет назад