**РЕШИТЕ СКАНАВИ 1.045. ПОЖАЛУЙСТА РОСПИШИТЕ И НАЙТИ Х ИЗ ПРОПОРЦИИ БЕЗ PHOTOMATH ПОЖАЛУЙСТА ОЧЕНЬ СРОЧНО ДАЮ 20 Б АЛЛОВ ПЖ ПЖ ПЖ**
Приложения:

Ответы
Ответ дал:
0
Ответ:
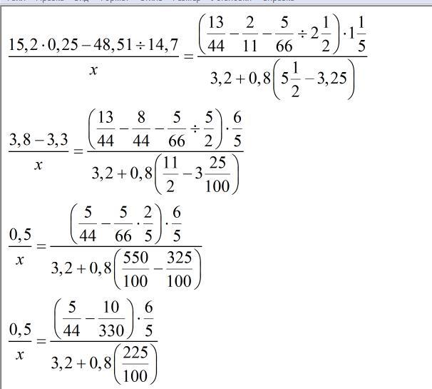
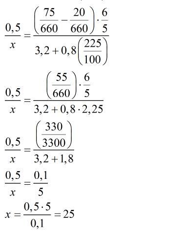
x=25
Пошаговое объяснение:
Решение ниже. Но мне кажется на встроенном языке формул оно не очень хорошо выглядит, потому еще скриншоты добавляю.
Приложения:


Вас заинтересует
2 года назад
2 года назад
7 лет назад
7 лет назад
9 лет назад
9 лет назад