• Предмет: Математика
  • Автор: akmalsodikov04
  • Вопрос задан 3 года назад

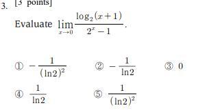
Вычислите лимит, без использования Лопиталя, каждый шаг решения подробно

Приложения:

akmalsodikov04: ну так на socie и физика и матеша, причем матеша сложнее
akmalsodikov04: есть вообще желание там учится, или чисто по фану сдаешь?
TheMegaFlashSuper: Остальные универы по тех направлению, поэтому выбрал sbl. А насчет матеши, то тут поспорю. У меня друзья сдавали на sbl и socie, говорят что задания одинаковые, у sbl больше просто
TheMegaFlashSuper: Ну хз, я сейчас склоняюсь к учебе в МИФИ
akmalsodikov04: понятно
akmalsodikov04: ну раз ты по физике, то в sbl тебе нечего делать)
TheMegaFlashSuper: Мне на самом деле без разницы куда пойти, физику я из-за интереса учу
akmalsodikov04: у меня как раз с физикой все проблемы, вроде разобрался кое-как с кинематикой, остальное тяжко дается
TheMegaFlashSuper: А почему в логистику не пошел? Там сейчас все деньги крутятся
akmalsodikov04: не моё

Ответы

Ответ дал: yevheniiavz
1

..................................................

Приложения:
Вас заинтересует