• Предмет: Алгебра
  • Автор: chillingmail
  • Вопрос задан 3 года назад

20 баллов. Помогите решить систему уравнений

Приложения:

Ответы

Ответ дал: tarasabc
3

Відповідь:

1) х=5,  у=3 или (5;3)

2) х=5,  у=-3 или (5;-3)

3)   x=-\frac{\sqrt{118} }{2},  y=\frac{3\sqrt{2} }{2} или (-\frac{\sqrt{118} }{2} ;\frac{3\sqrt{2} }{2} )

4)  x=-\frac{\sqrt{118} }{2},  y=-\frac{3\sqrt{2} }{2} или (-\frac{\sqrt{118} }{2} ;-\frac{3\sqrt{2} }{2} )

Пояснення:

Сначала нужно бы найти ОДЗ, но мы потом сделаем проверку, что бы исключить ненужные корни.

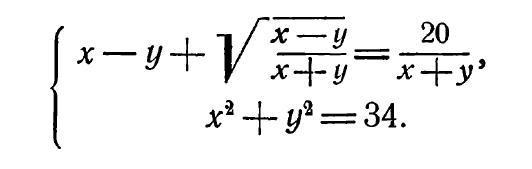
\left \{ {{x-y+\sqrt{\frac{x-y}{x+y} } =\frac{20}{x+y}} \atop {x^2+y^2=34}} \right.

Как видим, в первом уравнении есть в знаменатели х+у и корень из х+у.

Что бы от него избавится, умножим первое уравнение на х+у, считая что х+у положительное значение (что бы внести под корень) .

А из второго выразим х²

\left \{ {{x-y+\sqrt{\frac{x-y}{x+y} } =\frac{20}{x+y}/*(x+y)} \atop {x^2+y^2=34}} \right.\\\left \{ {{(x-y)(x+y)}+\sqrt{(x-y)(x+y)} =20 } \atop {x^2=34-y^2}} \right.

В первом уравнении получилась формула (х-у)(х+у)=х²-у²

А потом заменим х² на 34-у²

x^2-y^2+\sqrt{x^2-y^2}=20\\ 34-y^2-y^2+\sqrt{34-y^2-y^2} =20\\34-2y^2+\sqrt{34-2y^2} =20

Сделаем замену переменных   \sqrt{34-2y^2} =a

a^2+a=20\\a^2+a-20=0

У нас получилось квадратное уравнение с коэффициентами a=1, b=1, c=-20

Найдем сначала дискриминант по формуле: D=b^2-4ac, а потом и корни уравнения по формулах   x_1=\frac{-b+\sqrt{D} }{2a}      и   x_2=\frac{-b-\sqrt{D} }{2a}

D=1^2-4*(-20)=1+80=81\\a_1=\frac{-1-9}{2} =-5\\a_2=\frac{-1+9}{2} =4\\

Теперь возвращаемся к замене переменных:

\sqrt{34-2y^2} =a_1\\\sqrt{34-2y^2}=-5 (Так как корень не может быть отрицательным числом, то этот вариант нам не подходит)

\sqrt{34-2y^2} =a_2\\\sqrt{34-2y^2}=4\\34-2y^2=16\\-2y^2=16-34\\2y^2=18\\y^2=9\\y_1=3\\y_2=-3\\

Еще раз возвращаемся до того момента, когда мы х² выражали через у²

x^2=34-y^2\\

x^2=34-y_1^2\\x^2=34-3^2\\x^2=34-9\\x^2=25\\x_1=5\\x_2=-5

Такие же корни будут при (-3), поскольку в квадрате минус исчезнет, и будет то же что и с 3 в квадрате!

Теперь у нас есть 4 разных значения, и нужно сделать проверку на ОДЗ для всех возможных значений. Сначала будем проверять, не отрицательное значение ли под корнем, а затем все остальное.

1) х=5,  у=3

\sqrt{\frac{5-3}{5+3} }=\sqrt{\frac{1}{4}  }=\frac{1}{2} > 0

5-3+\frac{1}{2}  =\frac{20}{5+3}\\2.5=2.5

Такая пара корней нам подходит (5;3)

2) х=5,  у=-3

\sqrt{\frac{5-(-3)}{5-3} }=\sqrt{4  }=2 > 0

5-(-3)+2  =\frac{20}{5-3}\\10=10

Такая пара корней нам подходит (5;-3)

3) х=-5,  у=-3

\sqrt{\frac{-5-(-3)}{-5-3} }=\sqrt{\frac{1}{4}   }=\frac{1}{2} > 0

-5+3+\frac{1}{2}  =\frac{20}{-5-3}\\-1.5\neq -2.5

Такая пара корней нам не подходит

4) х=-5,  у=3

\sqrt{\frac{-5-3}{-5+3} }=\sqrt{4  }=2 > 0

-5-3+2  =\frac{20}{-5+3}\\-6\neq -10

Такая пара корней нам не подходит

Теперь, что бы избавится от знаменателя, умножим первое уравнение на -(х+у), считая что х+у отрицательное значение (что бешим.

\left \{ {{x-y+\sqrt{\frac{x-y}{x+y} } =\frac{20}{x+y}/*-(x+y)} \atop {x^2+y^2=34}} \right.\\\left \{ {{-(x-y)(x+y)}+\sqrt{-(x-y)(x+y)} =20 } \atop {x^2=34-y^2}} \right.

y^2-x^2+\sqrt{(x^2-y^2)}=-20\\ y^2-34+y^2+\sqrt{ 34-y^2-y^2} =-20\\2y^2- 34+\sqrt{34-2y^2} =-20

Сделаем замену переменных   \sqrt{ 34-2y^2} =a

 -a^2+a=-20\\a^2-a-20=0\\

D=(-1)^2-4*(-20)=1+80=81 > 0\\a_1=\frac{1-9}{2} =-4\\a_2=\frac{1+9}{2} =5\\

\sqrt{34-2y^2} =a_1\\\sqrt{34-2y^2}=-4 (Так как корень не может быть отрицательным числом, то этот вариант нам не подходит)

\sqrt{34-2y^2} =a_2\\\sqrt{34-2y^2}=5\\34-2y^2=25\\-2y^2=25-34\\2y^2=9\\y^2=\frac{9}{2} \\y_1=\frac{3\sqrt{2} }{2} \\y_2=-\frac{3\sqrt{2} }{2} \\

x^2=34-y^2\\

x^2=34-y_1^2\\x^2=34-\frac{9}{2}\\x^2=\frac{68}{2} -\frac{9}{2}\\x^2=\frac{59}{2} \\x_1=\frac{\sqrt{118} }{2} \\x_2=-\frac{\sqrt{118} }{2}

Нам подойдут только пары, которые меньше нуля:

Только x=-\frac{\sqrt{118} }{2} и y=\frac{3\sqrt{2} }{2}

и x=-\frac{\sqrt{118} }{2} и y=-\frac{3\sqrt{2} }{2}


tamarabernukho: Не комплексные
tamarabernukho: Отрицательные
tarasabc: Какие? возможно я что то упустил
tamarabernukho: Вы вводите сумму х+у под радикал, считая что х+у>0, но х+у может быть и меньше нуля
tarasabc: Тогда нужно первое уравнение умножить на -(х+у), и еще раз решить?)
tarasabc: Тогда дискриминант меньше нуля получается(
tamarabernukho: 2y^2-34+(34-2y^2)^1/2=-20;x^2+y^2=34
tarasabc: есть, спасибо огромное)
tarasabc: Поправка :Нам подойдут только пары, сумма которых меньше нуля:
tamarabernukho: https://ibb.co/D86px60
Ответ дал: nelle987
3

Ответ:

\begin{cases}x=-\dfrac{\sqrt{34+3\sqrt{59}}+\sqrt{34-3\sqrt{59}}}{2}\\y=\pm\dfrac{\sqrt{34+3\sqrt{59}}-\sqrt{34-3\sqrt{59}}}{2}\end{cases}

\begin{cases}x=5\\y=\pm3\end{cases}

Объяснение:

Чтобы уравнение было менее страшным, введём новые обозначения.

Обозначим x + y = u.

Чтобы было проще извлечь корень

\sqrt{\dfrac{x-y}{x+y}}

удобно обозначить x - y = uv², причем для определённости примем v ≥ 0. Тогда весь корень равен просто v.

Решение первого уравнения.

Рассмотрим, что получится, если подставить новые переменные в первое уравнение:

uv^2+v=\dfrac{20}{u}\\u^2v^2+uv=20

После замены переменных t = uv получается квадратное уравнение t² + t = 20, корни которого угадываются по теореме Виета, это t = -5 или t = 4.

Итак, uv = -5 или uv = 4. Тогда x - y = uv · v = -5v или 4v.

Первый случай. x - y = -5v

Поскольку по договоренности v ≥ 0, u должно быть отрицательным.

Заметим, что (x - y)² + (x + y)² = x² - 2xy + y² + x² + 2xy + y² = 2(x² + y²) = 68 в соответствии со вторым уравнением. Тогда, подставив новые переменные, получаем:

u² + 25v² = 68

При этом u² · 25v² = 25(uv)² = 25², значит по теореме Виета u² и 25v² — корни квадратного уравнения t² - 68t + 25² = 0.

Выделяем полный квадрат:  t² - 68t + 25² = t² - 2 · 34t + 34² + (25² - 34²) = (t - 34)² + (25 - 34)(25 + 34) = (t - 34)² - 9 · 59

Значит, t = 34 ± 3√59 — оба корня положительные. Получаем два варианта:

1) u=-\sqrt{34-3\sqrt{59}}, -5v=-\sqrt{34+3\sqrt{59}}. В терминах x и y это приводит к такой системе уравнений:

\begin{cases}x-y=-\sqrt{34+3\sqrt{59}}\\x+y=-\sqrt{34-3\sqrt{59}}\end{cases}

Полусумма и полуразность этих уравнений даёт x и y

\begin{cases}x=-\dfrac{\sqrt{34+3\sqrt{59}}+\sqrt{34-3\sqrt{59}}}{2}\\y=\dfrac{\sqrt{34+3\sqrt{59}}-\sqrt{34-3\sqrt{59}}}{2}\end{cases}

2)  u=-\sqrt{34+3\sqrt{59}}, -5v=-\sqrt{34-3\sqrt{59}}. Аналогично,

\begin{cases}x=-\dfrac{\sqrt{34+3\sqrt{59}}+\sqrt{34-3\sqrt{59}}}{2}\\y=-\dfrac{\sqrt{34+3\sqrt{59}}-\sqrt{34-3\sqrt{59}}}{2}\end{cases}

Второй случай. x - y = 4v

Здесь u должно быть положительным. Следуя первому случаю, последовательно находим:

u² + 16v² = 68

При этом u² · 16v² = 16(uv)² = 16², значит по теореме Виета u² и 16v² — корни квадратного уравнения t² - 68t + 16² = 0.

Выделяем полный квадрат:  t² - 68t + 16² = t² - 2 · 34t + 34² + (16² - 34²) = (t - 34)² + (16 - 34)(16 + 34) = (t - 34)² - 30²

Значит, t = 34 ± 30, t = 4 или t = 64. Получаем два варианта:

1) u = 2, 4v = 8. В терминах x и y это приводит к такой системе уравнений:

\begin{cases}x-y=2\\x+y=8\end{cases}

Решение этой системы уравнений — x = 5, y = 3

2) u = 8, 4v = 2. Аналогично, x = 5, y = -3.

Постскриптум

Решения для "первого случая" (когда x - y = -5v) выглядят громоздко. В принципе, их можно оставить и так, но можно немного упростить.

Попробуем извлечь корень, возможно это как-то поможет. Положим

\sqrt{34\pm3\sqrt{59}}=\sqrt{a}\pm\sqrt{b}

Возведём в квадрат:

34\pm3\sqrt{59}=(a+b)\pm2\sqrt{ab}

Чтобы равенство выполнялось, достаточно потребовать

\begin{cases}a+b=34\\2\sqrt{ab}=3\sqrt{59}\end{cases}\quad\begin{cases}a+b=34\\ab=\dfrac94\cdot{59}\end{cases}

Еще раз вспоминаем теорему Виета, a и b оказываются корнями уравнения

t^2-34t+\dfrac{9\cdot59}4=0

Корни этого уравнения 9/2 и 59/2. Так как \sqrt{34-3\sqrt{59}}=\sqrt{a}-\sqrt{b} > 0, то a должно быть больше b. Значит,

\sqrt{34\pm3\sqrt{59}}=\sqrt{\dfrac{59}2}\pm\sqrt{\dfrac{9}2}=\sqrt{\dfrac{59}2}\pm\dfrac3{\sqrt{2}}

Если подставить полученные значения вместо корней в решение для первого случая, получится пара корней

\left(-\sqrt{\dfrac{59}2},\pm\dfrac3{\sqrt2}\right)

Вас заинтересует