• Предмет: Физика
  • Автор: ivan08012009
  • Вопрос задан 3 года назад

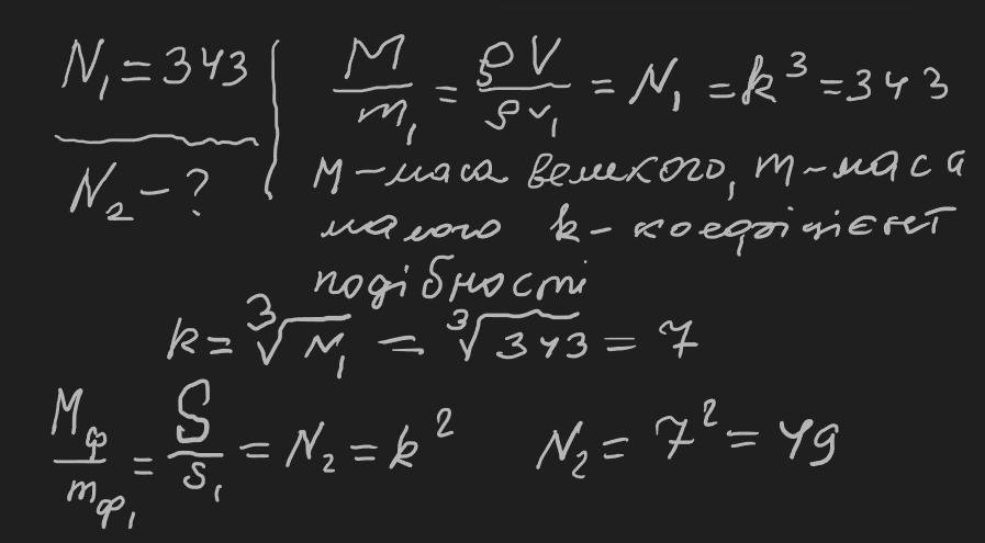
За спеціальним замовленням була виготовлена збільшена копія
олов’яного солдатика. Для цього витрачено стільки ж олова, скільки для
виготовлення 343 «звичайних» солдатиків. Скільки «звичайних» солдатиків
можна було б пофарбувати тією фарбою, якою пофарбували цю збільшену
копію?


tarasabc: 49

Ответы

Ответ дал: zybkov1950
2

Відповідь: 49

Пояснення:

Приложения:
Вас заинтересует