• Предмет: Алгебра
  • Автор: school2760
  • Вопрос задан 3 года назад

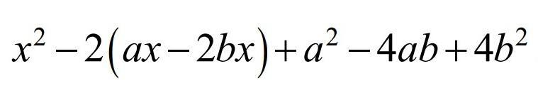
Розкладіть на множники ​

Приложения:

Ответы

Ответ дал: Universalka
1

\displaystyle\bf\\x^{2} -2\Big(ax-2bx\Big)+\underbrace{a^{2} -4ab+4b^{2}}_{(a-2b)^{2} }=x^{2} -2x\Big(a-2b\Big) +\Big(a-2b\Big)^{2}=\\\\\\=\Big[x-\Big(a-2b\Big)\Big]^{2} =\Big(x-a+2b\Big)\cdot\Big(x-a+2b\Big)


school2760: спасибо большое
Вас заинтересует