• Предмет: Физика
  • Автор: okamidokodaku
  • Вопрос задан 3 года назад

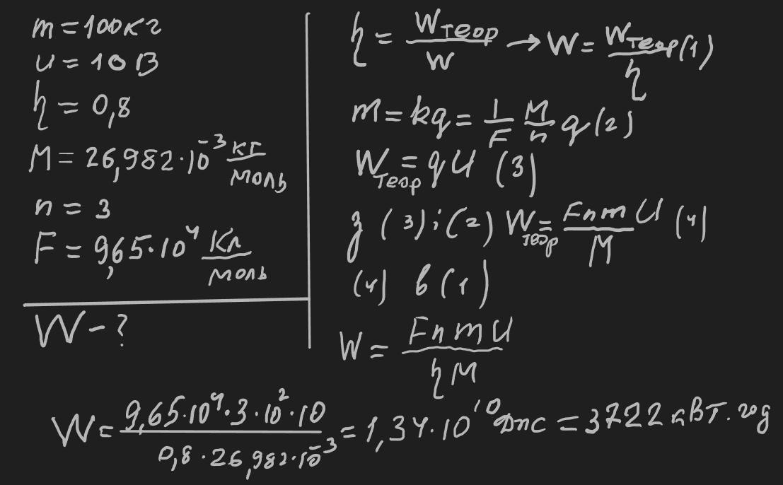
Скільки потрібно витратити електроенергії, щоб добути 100 кг
тривалентного алюмінію, якщо електроліз відбувається при
напрузі 10 В, а ККД установки дорівнює 80 %?Молярна маса
алюмінію - 26,982 г/моль.
Відповідь надати в кВт·год, скоротивши до цілого числа

Ответы

Ответ дал: zybkov1950
2

Відповідь: ≈ 2722 кВт·год

Пояснення:

Приложения:
Вас заинтересует