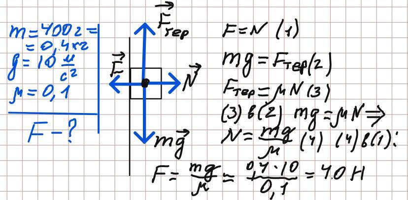
Визначити мінімальну горизонтальну силу,яка
притискає брусок масою м = 400 г до вертикальної стінки так, що він не ковзає. Коефіцієнт тертя д= 0,1.
Ответы
Ответ дал:
1
Відповідь: 40 Н
Пояснення:
Приложения:
Вас заинтересует
2 года назад
2 года назад
2 года назад
2 года назад
8 лет назад
8 лет назад
9 лет назад