• Предмет: Алгебра
  • Автор: ArtemKushnir212
  • Вопрос задан 3 года назад

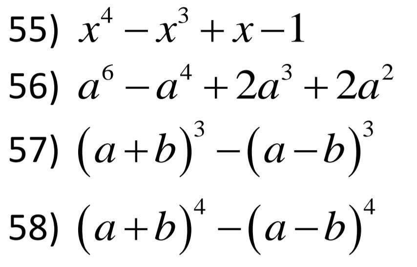
пж помогите разложить на множники​

Приложения:

Ответы

Ответ дал: rugiaibragimova
1

(отметьте как лучший ответ пожалуйста)

Приложения:
Вас заинтересует