• Предмет: Алгебра
  • Автор: okamidokodaku
  • Вопрос задан 3 года назад

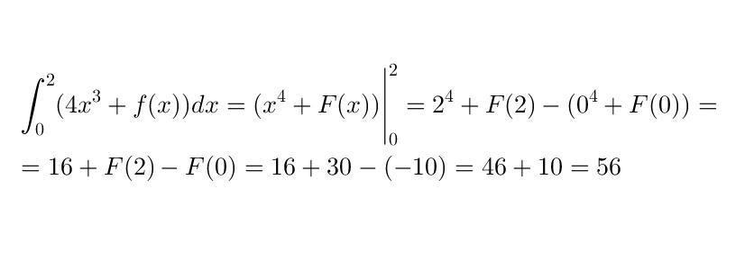
Обчисліть інтеграл НУЖНО СЕГОДНЯ ПОЖАЛУЙСТА

Приложения:

Popovichinna1970110: Привіт, я проходжу за 11 Класс екстернат в Краматорськой школі і мені потрібна допомога в деяких предметах, допоможи будь-ласка

Ответы

Ответ дал: genius20
2

Если что-то непонятно — спрашивай.

Приложения:
Вас заинтересует