• Предмет: Физика
  • Автор: nadyaa011
  • Вопрос задан 3 года назад

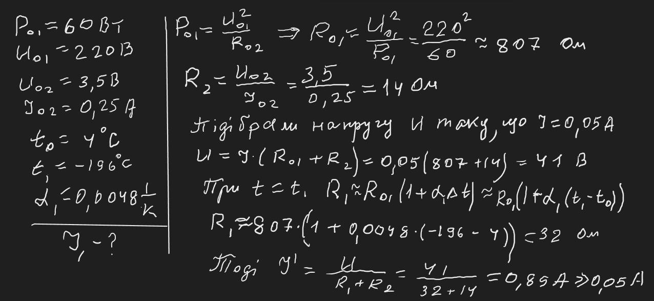
Від лампочки на 60Вт, 220В відрізують скляний балон так, щоб вольфрамова спіраль залишилась цілою і з'єднують її послідовно з лампочкою для кишенькового ліхтарика на 3,5 В, 0,25А, джерелом струму, реостатом і ключем. Підбирають напругу таку, щоб нитка малої лампочки ледве розжарювалась. Вольфрамову спіраль великої лампочки опускають в термос з рідким азотом (охолоджують), лампочка кишенькового ліхтарика яскраво засвічується. Чому? ​

Ответы

Ответ дал: zybkov1950
1

Відповідь: Різко зростає сила струму у лампочці, внаслідок значного зменшення опору вольфрамової спіралі

Пояснення:

Приложения:

nadyaa011: дякую)
Вас заинтересует