• Предмет: Физика
  • Автор: nadyaa011
  • Вопрос задан 3 года назад

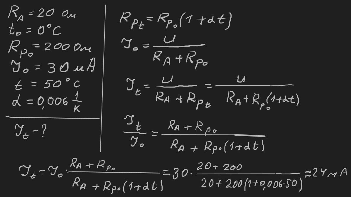
Електричне коло складається із джерела струму, міліамперметра опором 20 Ом і реостата, обмотка якого виготовлена із сталі. За температури 0°С показ міліамперметра 30 мА, а опір реостата - 200 Ом. Яким буде показ міліамперметра, якщо обмотка реостата нагрівається до 50°С? Внутрішнім опором та опором з'єднувальних опорів знехтувати ​

Ответы

Ответ дал: zybkov1950
3

Відповідь: ≈ 24 мА

Пояснення:

Приложения:

nadyaa011: дякую
Вас заинтересует