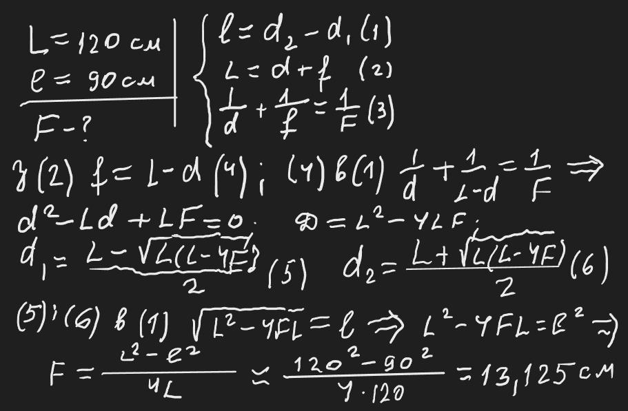
Свічка розміщена на відстані 120 см від екрана. Якщо між свічкою і екраном (ближче до свічки) помістити збиральну лінзу, то на екрані з’являється чітке збільшене зображення свічки. Якщо лінзу перемістити на 90 см ближче до екрана, то одержимо чітке зменшене зображення свічки. Знайти фокусну відстань лінзи.
zybkov1950:
Це солідна задача і вартує не 10, а максимальну кількість балів!
Ответы
Ответ дал:
0
Відповідь: 13,125 см
Пояснення:
Приложения:

Вас заинтересует
2 года назад
7 лет назад
7 лет назад
9 лет назад
9 лет назад