• Предмет: Математика
  • Автор: 2019redminote50704
  • Вопрос задан 3 года назад

знайдіть площу рівнобедреного трикутника ,основа 195 бічні 285​

Ответы

Ответ дал: lilli001
0
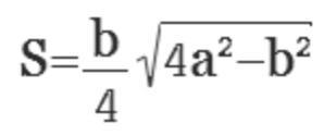
a- сторона трикутника = 285
b- основа трикутника = 195

S= 48,75√324900-38025= 48,75 * 535,6= 26110,5
Приложения:
Вас заинтересует