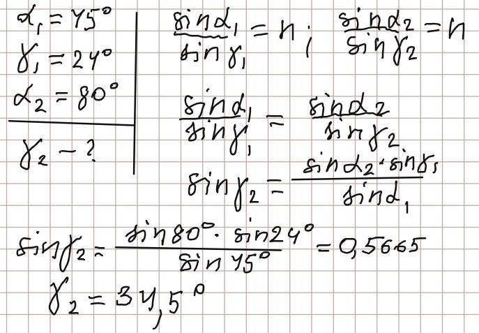
Світловий промінь падає з повітря на поверхню рідини під кутом 45°, при цьому кут його заломлення дорівнює 24°. Яким
буде кут заломлення, якщо світло падатиме під кутом 80°?
Ответы
Ответ дал:
1
Відповідь: 34,5⁰
Пояснення:
Приложения:
Вас заинтересует
2 года назад
2 года назад
2 года назад
2 года назад
8 лет назад
8 лет назад
9 лет назад