Ответы
Ответ дал:
1
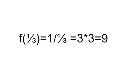
дивіться фото..................................
Приложения:

lerasoloid:
спасибо)
Ответ дал:
0
Ответ:
Пошаговое объяснение:
Приложения:

Вас заинтересует
2 года назад
2 года назад
2 года назад
7 лет назад
7 лет назад
9 лет назад
9 лет назад