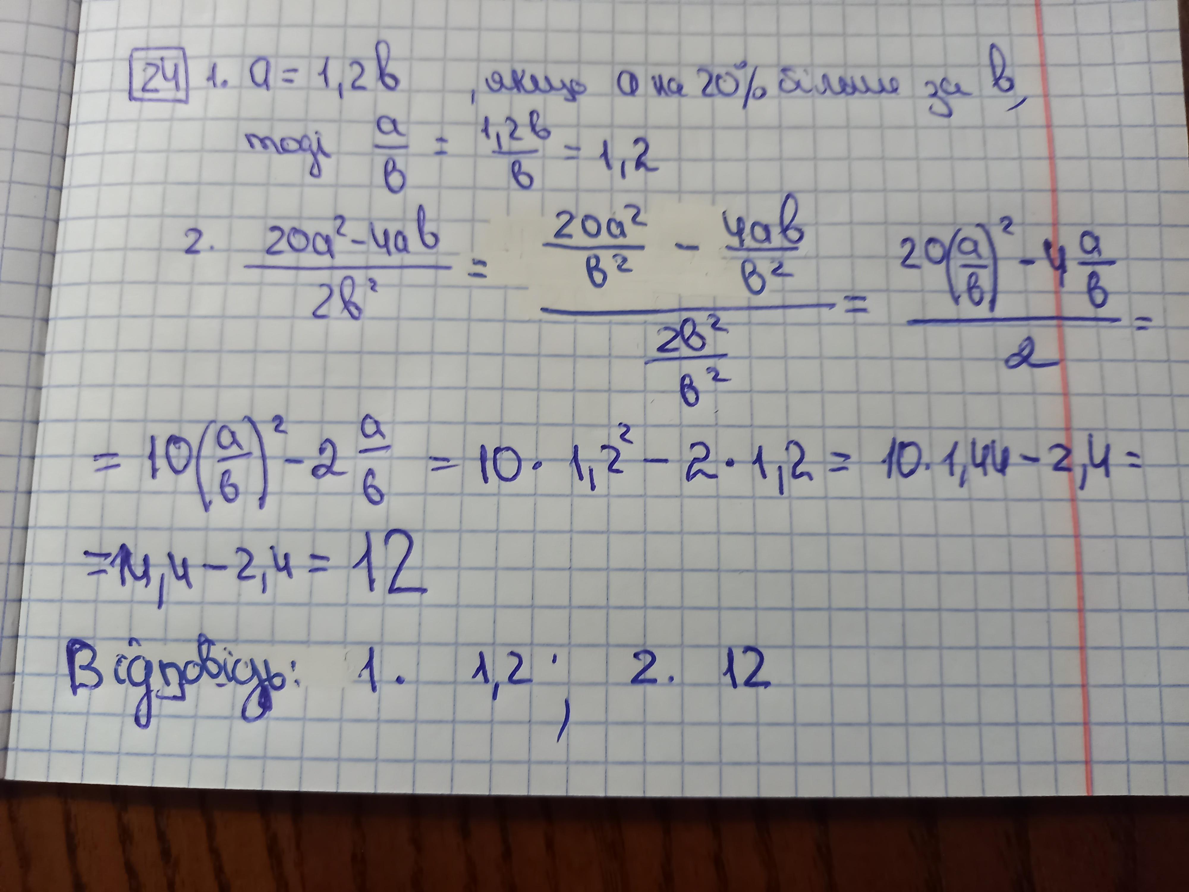
Як знайти значення виразу?
Приложения:

iramazurk:
В номере 2, значения а и b какие ?
Ответы
Ответ дал:
2
Доброї спокійної ночі.
Відповідь: 1. 1,2; 2. 12.
Приложения:

Ответ дал:
1
Ответ:
Число а на 20% больше числа b , значит .
Вас заинтересует
2 года назад
2 года назад
2 года назад
2 года назад
7 лет назад
7 лет назад
9 лет назад