• Предмет: Алгебра
  • Автор: samsandin06
  • Вопрос задан 3 года назад

Срочно, дам 10баллов!

Приложения:

Ответы

Ответ дал: ildar502020
1

Ответ:

Объяснение:

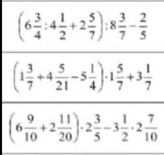
1)  (6 3/4: 4 1/2+2 5/7):8 3/7-2/5=0.1.

1)  6 3/4 : 4 1/2=27/4 : 9/2=27/4*2/9=3/2;

2) 3/2+2 5/7= 21/14+2 10/14=2 31/14=4  3/14;

3)  4 3/14:8 3/7=59/14:59/7=59/14*7/59=1/2;

4)  1/2-2/5=5/10-4/10=1/10=0.1.

-----------

2)  (1 3/7+4 5/21-5 1/4)*1 5/7 + 3 1/7= 3 6/7.

1)  1 3/7+4 5/21=1 9/21+4 5/21=5 14/21=5 2/3;

2)  5 2/3-5 1/4=8/12-3/12=5/12;

3)  5/12*1 5/7=5/12*12/7=5/7;

4) 5/7+3 1/7=3 6/7.

--------------

3)  (6 9/10+2 11/20)*2 3/5-3 1/2*2 7/10=15.12.

1)  6 9/10+2 11/20=6 18/20+2 11/20=8 29/20=9 9/20;

2) 9 9/20*2 3/5=189/20*13/5=2457/100=24.57;

3)  3 1/2*2 7/10=7/2*27/10=189/20=9.45;

4)  24.57-9.45=15.12.

Вас заинтересует