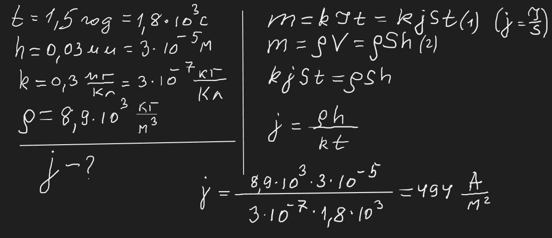
при нікелюванні виробу протягом 1,5 год на ньому утворився шар нікелю завтовшки 0,03мм. визначте середнє значення густини струму
Ответы
Ответ дал:
2
Відповідь: 494 А/м²
Пояснення:
Приложения:

nadyaa011:
дуже вдячна
Вас заинтересует
2 года назад
2 года назад
2 года назад
2 года назад
7 лет назад
7 лет назад
9 лет назад