• Предмет: Математика
  • Автор: ajzanmambetalieva0
  • Вопрос задан 3 года назад

Помогите пожалуйста ​

Приложения:

Ответы

Ответ дал: 000wrabbit
0

Ответ:

х=8

Пошаговое объяснение:

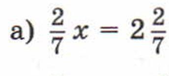
\frac{2}{7} х = 2\frac{2}{7}

\frac{2x}{7} = \frac{16}{7}

2х*7=16*7

2х=16

х=8

Ответ дал: aarr04594
0

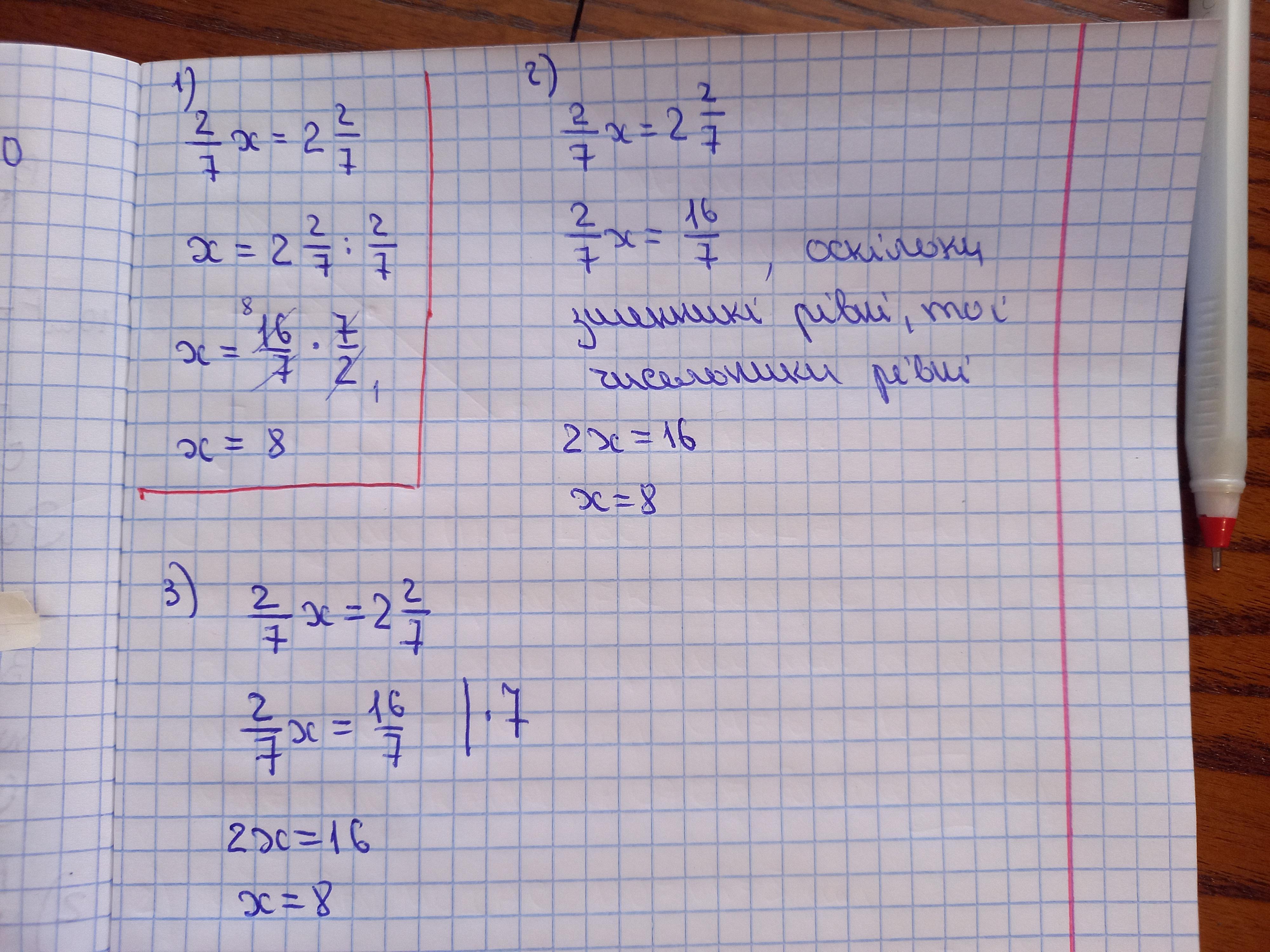
Відповідь: 8

Покрокове пояснення:

Приложения:
Вас заинтересует