• Предмет: Математика
  • Автор: hermanbelokopitov
  • Вопрос задан 3 года назад

Допоможіть будьласка с завданням

Приложения:

Ответы

Ответ дал: 000wrabbit
0

Ответ:

х=3

Пошаговое объяснение:

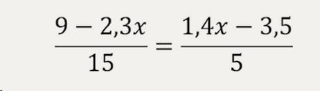
\frac{9-2.3x}{15} = \frac{1.4x-3.5}{5}

5(9-2.3x)=15(1.4x-3.5)

45-11,5х=21х-52,5

21х+11,5х=45+52,5

32,5х=97,5

х=97,5:32,5

х=3

Вас заинтересует