• Предмет: Математика
  • Автор: ajkagop393
  • Вопрос задан 3 года назад

Помогите пожалуйста нужна на завтра

Приложения:

Ответы

Ответ дал: genius20
1

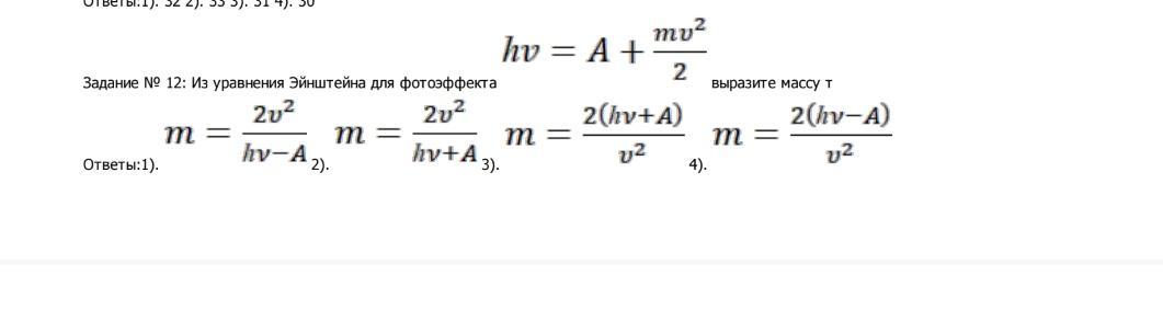
hv=A+\dfrac{mv^2}{2}\\\dfrac{mv^2}{2}=hv-A\\mv^2=2(hv-A)\\m=\dfrac{2(hv-A)}{v^2}

Вас заинтересует