Ответы
Ответ дал:
0
Ответ:
Объяснение:
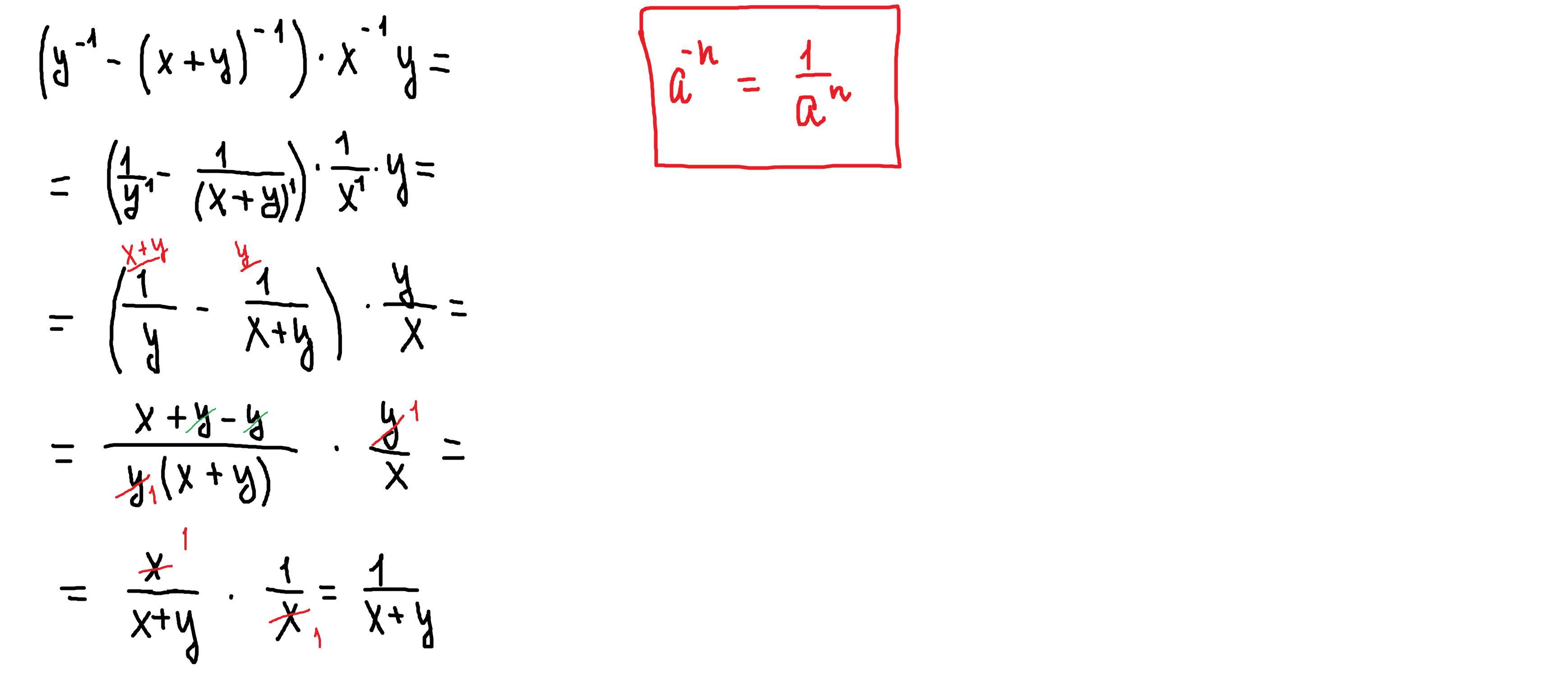
решение внизу
заменяем степень с отрицательным показателем-дробью,в которой числитель равен 1,а знаменатель наша степень,только уже без знака "минус"
Приложения:

Вас заинтересует
2 года назад
2 года назад
2 года назад
7 лет назад
7 лет назад
9 лет назад