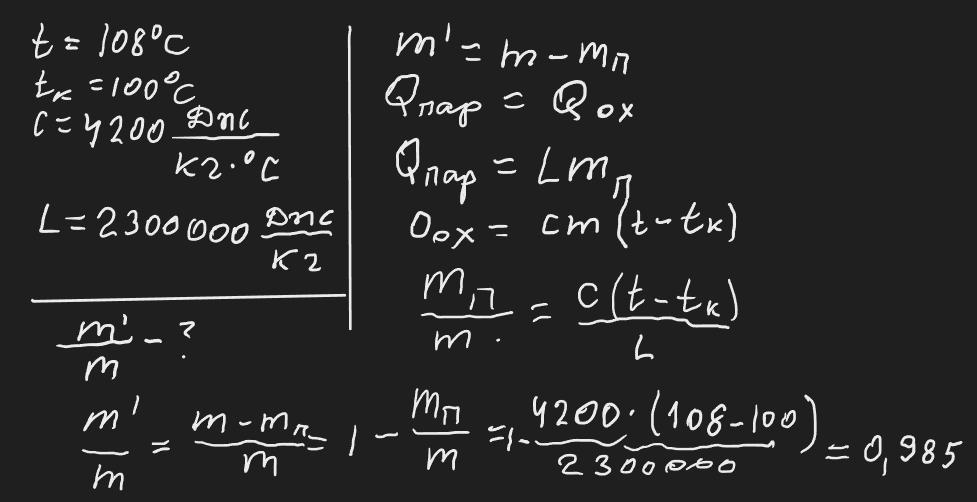
У посудину з перегрітою водою (температура 108 градусів цельсія) кидають крупинку піску. Це спричиняє раптове закипання води. Якою буде температура води після того, як закінчиться кипіння?
Яка частина від початкової кількості води залишиться в посудині?
З ПОЯСНЕННЯМ
Ответы
Ответ дал:
3
Відповідь: 1. При кипінні забирається теплота за рахунок остигання перегрітої води. Це триватиме до тих пір, поки не встановиться температура 100 ⁰С
2. ≈ 985/1000=98,5%
Пояснення:
Приложения:

Вас заинтересует
2 года назад
2 года назад
7 лет назад
7 лет назад
9 лет назад