• Предмет: Физика
  • Автор: karimsagadeev
  • Вопрос задан 3 года назад

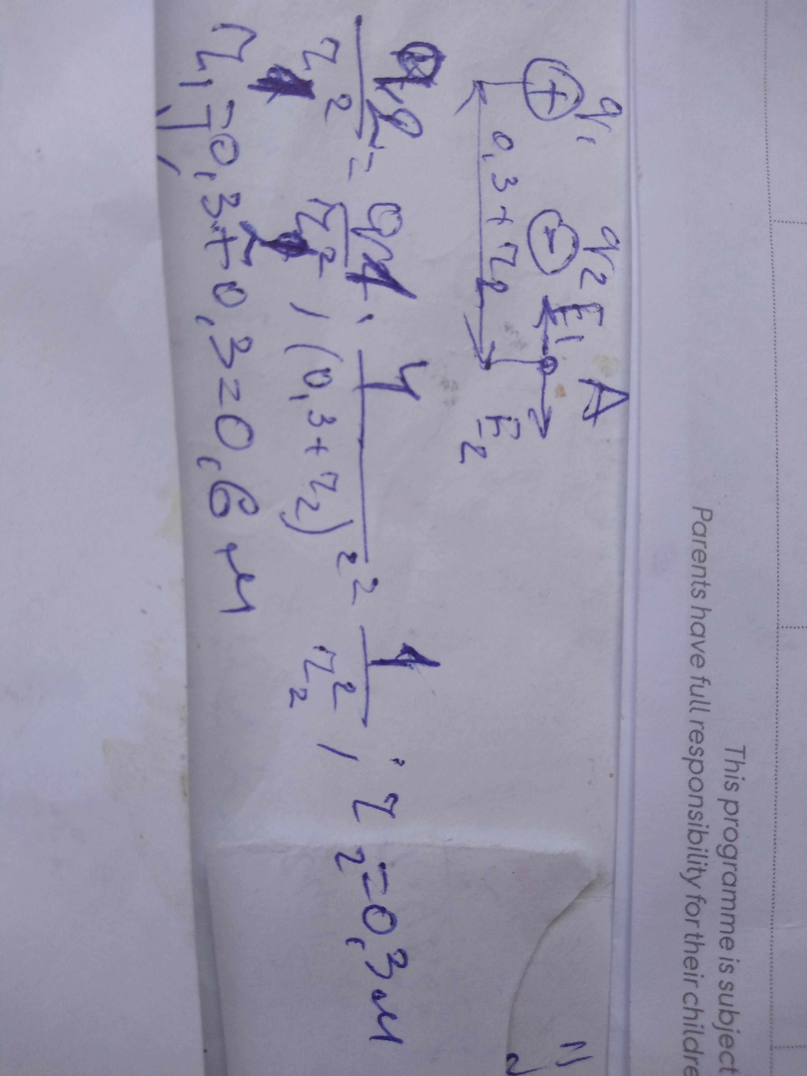
Два точечных заряда О1 = 1мк Кл и О2 = - 4мк Кл расположены на расстоянии 0,3 м друг от друга. Определите, на каком расстоянии от первого заряда расположена точка, в которой напряженность электрического поля равна нулю.


ВикаБач: Там, вроде не одна точка получается, а целая поверхность...??
ВикаБач: Хотя нет, одна. Pfrjy Rekjyf/
ВикаБач: Закон Кулона. q1/q2=(r2/r1)^2.
karimsagadeev: ответ то какой
ВикаБач: Это подсказка, а не решение
karimsagadeev: (((( мне бы решение блин
vosilo3512: задача точно правильная?

Ответы

Ответ дал: lvv9136
0

Ответ:

0,6

Объяснение:

Приложения:

vosilo3512: хороший почерк, а главное все понятно
Ответ дал: vosilo3512
0

Ответ: 0,52 m

Объяснение:

Дано:

r = 0,3 м

q1 = + 0,1 мкКл = + 0,1*10⁻⁶ Кл

q2 = - 0,4 мкКл = - 0,4*10⁻⁶ Кл

____________________________

x - ?

Напряженности:

E1 = k*q1 / x²

E2 = k*q2 / (r+x)²

По условию:

E = E1 + E2 = 0

k*q1 / x² = - k*q2 / (r+x)²

q1 / x² = - q2 / (r+x)²

(r + x) / r = √( - q2/q1)

1 + x / r = √( - q2/q1)

x / r = √( - q2/q1) - 1

x = r*(√( - q2/q1) - 1)

x = 0,3*√( - (-0,4)/0,1 - 1) = 0,3*√3 ≈ 0,52 м

Вас заинтересует