• Предмет: Математика
  • Автор: polina20090290
  • Вопрос задан 3 года назад

Помогите пожалуйста, очень срочно нужно!

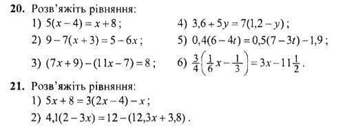
Приложения:

Ответы

Ответ дал: ildar502020
0

Ответ:

Пошаговое объяснение:

1)5(x-4)=x+8;

5x-20=x+8;

5x-x=20+8;

4x=28

x=7.

---------------

2)  9-7(x+3)=5-6x;

-7x+6x=5-9+21;

-x=17

x=-17.

----------

3)  (7x+9)-(11x-7)=8;

7x-11x=8-9-7;

-4x=-8;

x=2.

----------------

4)  3.6+5y=8.4-7y;

5y+7y=8.4-3.6;

12y=4.8;

y=0.4.

-------------

5)  2.4-1.6t=3.5-1.5t-1.9;

-1.6t+1.5t=3.5-1.9-2.4;

-0.1t=-0.8;

t=8.

-----------

6)  3/24x-1/4=3x-11 1/2;

1/8x-3x=1/4-11 1/2;

-23/8x=-45/4;

x=45/4:23/8;

x=90/23

----------------

1)  5x-6x+x=-8-12  -  уравнение не имеет решения

2)  8,2-12,3x=12-12.3x-3.8;

-12.3x+12.3x=12-3.8-8.2 - уравнение не имеет решения

Вас заинтересует