• Предмет: Алгебра
  • Автор: foziljonsalihanov
  • Вопрос задан 3 года назад

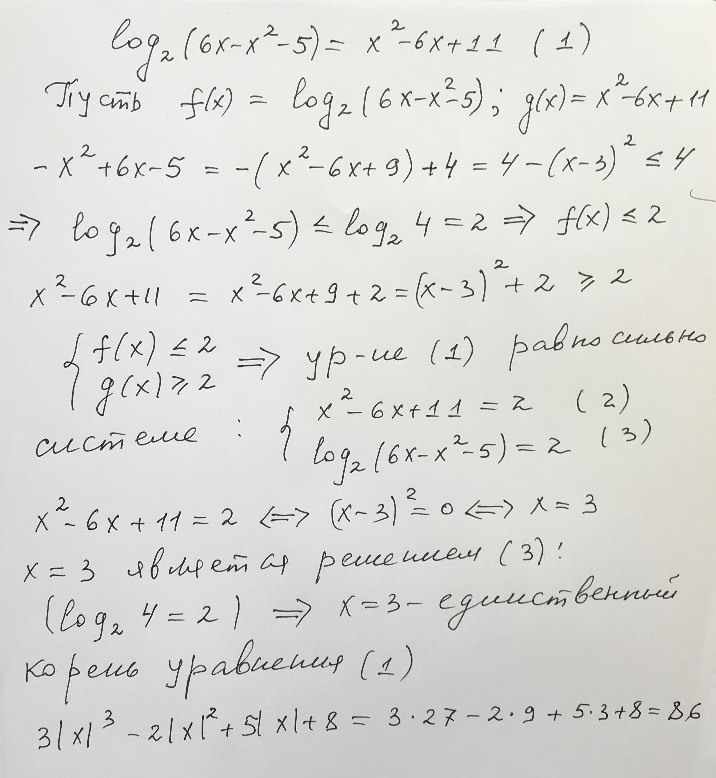
Решить уравнение er for log2 (6x -x² -5)=x² - 6x +11 .В ответе указать значение выражения 3·|x|³ − 2•|x²| +5•| x | +8 ​


BMW52: Может в уравнении пропустили знак log2?

Ответы

Ответ дал: antonovm
1

Ответ:

86 .......................

Объяснение:

Приложения:

foziljonsalihanov: спасибо
BMW52: Добрый день, антоновм. Считаете, что пункт 1 обоснован верно? Ссылка https://znanija.com/task/48691713
Вас заинтересует