• Предмет: Математика
  • Автор: ilya4568752
  • Вопрос задан 3 года назад

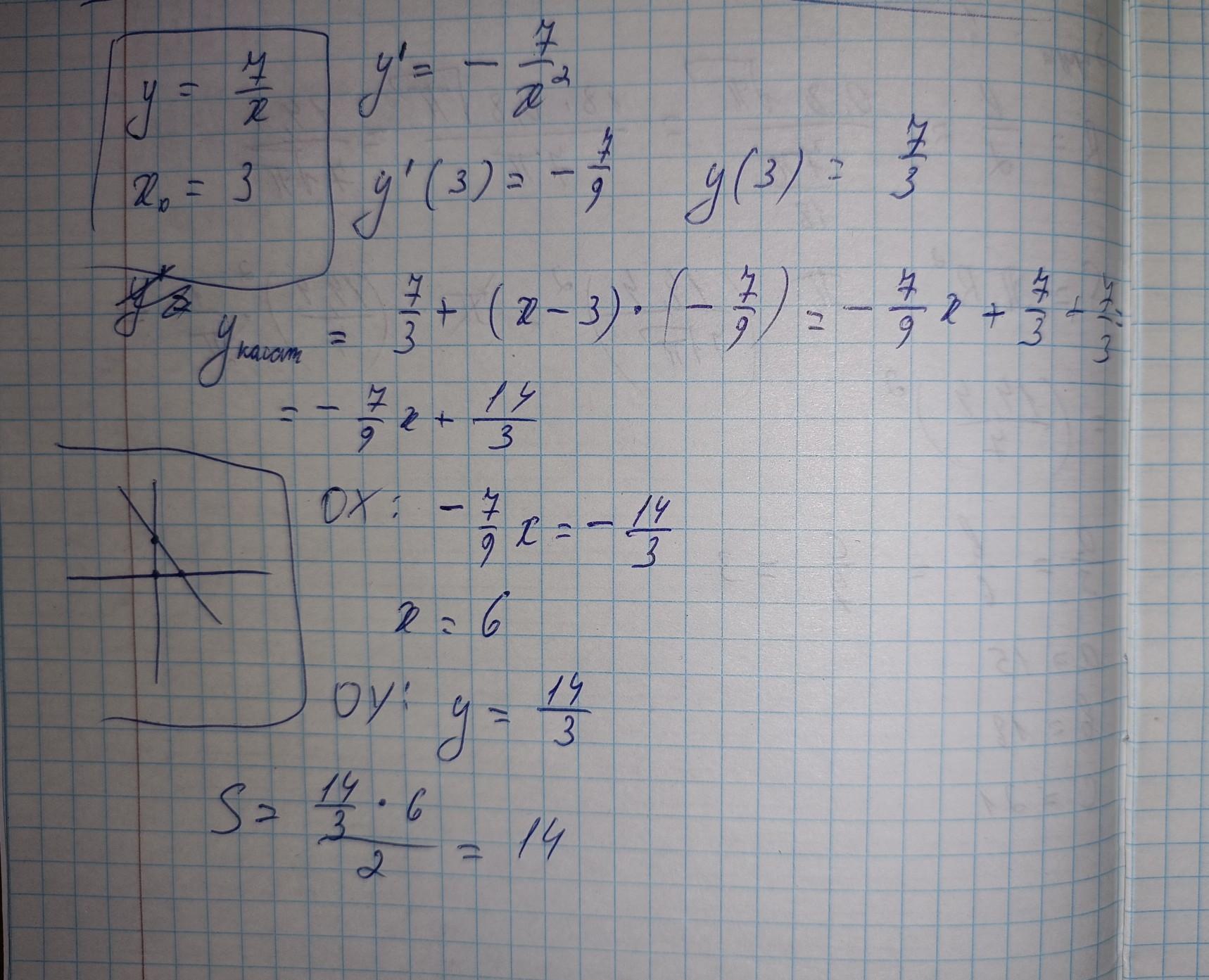
найдите площадь треугольника ограниченного осями координат и касательной к графику функции y=7/x в точке с абсциссой x0=3​

Ответы

Ответ дал: atamuradov
0

Ответ:

14

Пошаговое объяснение:

решение на фото.....

Приложения:
Вас заинтересует