• Предмет: Физика
  • Автор: vaglm1032
  • Вопрос задан 3 года назад

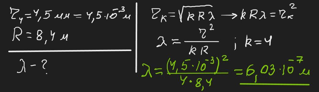
При спостереженні кілець Нютона у відбитому світлі радіус четвертого темного кільця становить r4=4,5мм . Радіус кривизни плоско-опуклої лінзи R=8,4 м . Знайти довжину хвилі світла λ , що відповідає вказаним умо
вам​

Ответы

Ответ дал: zybkov1950
0

Відповідь: 603 нм

Пояснення:

Приложения:
Вас заинтересует