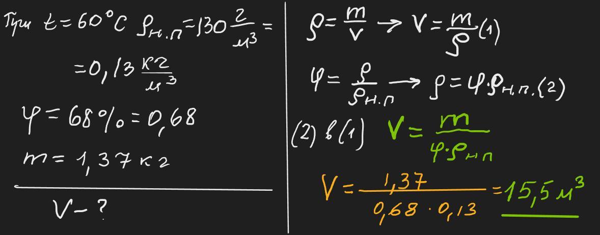
Температура повітря в парильні лазні дорівнює 60°С,а його відносна вологість становить 68%.
Обсисліть об‘єм парильні,якщо маса водяної пари,що міститься в ній,дорівнює 1,37 кг.
Ответы
Ответ дал:
1
Відповідь: ≈15,5 м³
Пояснення:
Приложения:

kapusta4324:
Дуже дякую!!!
Вас заинтересует
2 года назад
2 года назад
2 года назад
2 года назад
7 лет назад
7 лет назад