• Предмет: Математика
  • Автор: vosilo3512
  • Вопрос задан 3 года назад

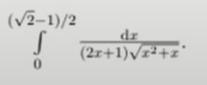
Даю 100 баллов тому кто решит этот интеграл( с подробнейшим обьяснением)

Приложения:

Ответы

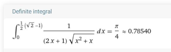
Ответ дал: genius20
2

Решение в PDF-файле. На скриншоте проверка на компьютере.

Если что-нибудь непонятно — спрашивай.

Приложения:

vosilo3512: красивое решение. Про дифф. бином впервые слышу, видимо рано мне ещё до таких интегралов, но за решение спасибо
genius20: Дифф. бином — это взятие подобных интегралов в общем виде, конкретно для этой задачи о нём знать не нужно (но нужно понимать идеи замены, то есть как избавиться от корня в два хода)
genius20: Кстати, ремарка про дифф. бином относилась ко второй замене, я её случайно не туда вставил. Первую замену я сделал чисто интуитивно — заменяем то, что не под корнем,, дальше смотрим, упростится ли корень.
fenix6810: Красиво, но частный случай интеграла.
genius20: Какого?
Вас заинтересует