• Предмет: Математика
  • Автор: riadaxadov216
  • Вопрос задан 3 года назад

Найдите наибольшее целое значение x из области определения функции

Приложения:

mic61: +7

Ответы

Ответ дал: Alnadya
3

Решение.

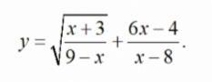
\bf y=\sqrt{\dfrac{x+3}{9-x} }+\dfrac{6x-4}{x-8}  

Подкоренное выражение должно быть неотрицательным, знаменатель дроби не должен быть равен нулю .

\bf 1)\ \ \dfrac{x+3}{9-x}\geq 0\ \ \Rightarrow \ \ \ \ \dfrac{x+3}{x-9}\leq 0  

Решаем неравенство методом интервалов.

Знаки функции:   \bf +++[-3\, ]---(\, 9\, )+++  

\bf x\in [-3\, ;\ 9\, )    

\bf 2)\ \ \dfrac{6x-4}{x-8}\ \ \ \Rightarrow \ \ \ x-8\ne 0\ \ ,\ \ x\ne 8  

3) Находим пересечение двух множеств.

 \left\{\begin{array}{l}\bf x\in [-3\, ;\ 9\, )\\\bf x\ne 8\end{array}\right\ \ \ \Rightarrow \ \ \ \boldsymbol{x\in  [-3\, ;\ 8\, )\cup (\, 8\, ;\, 9\, )}  

Ответ: наибольшее целое - это х=7 .

Вас заинтересует