• Предмет: Алгебра
  • Автор: SwiTySo2
  • Вопрос задан 3 года назад

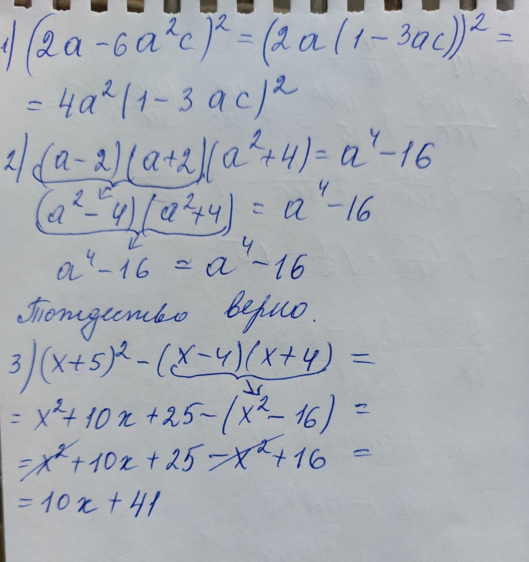
1. Розкладіть на множники (2а−6а^2с)^2 .

2. Доведіть тотожність (а − 2)(а + 2)(а^2 + 4)= а^4 −16 .

3. Запишіть у вигляді многочлена вирази: (х+5)^2 −(х−4)(х+4)


Universalka: Напишите ещё раз в комментариях условие первого задания .

Ответы

Ответ дал: kirarossmed
2

Ответ:

решение на фото

Объяснение:

на фото решение

Приложения:
Вас заинтересует