• Предмет: Алгебра
  • Автор: Julia45788
  • Вопрос задан 3 года назад

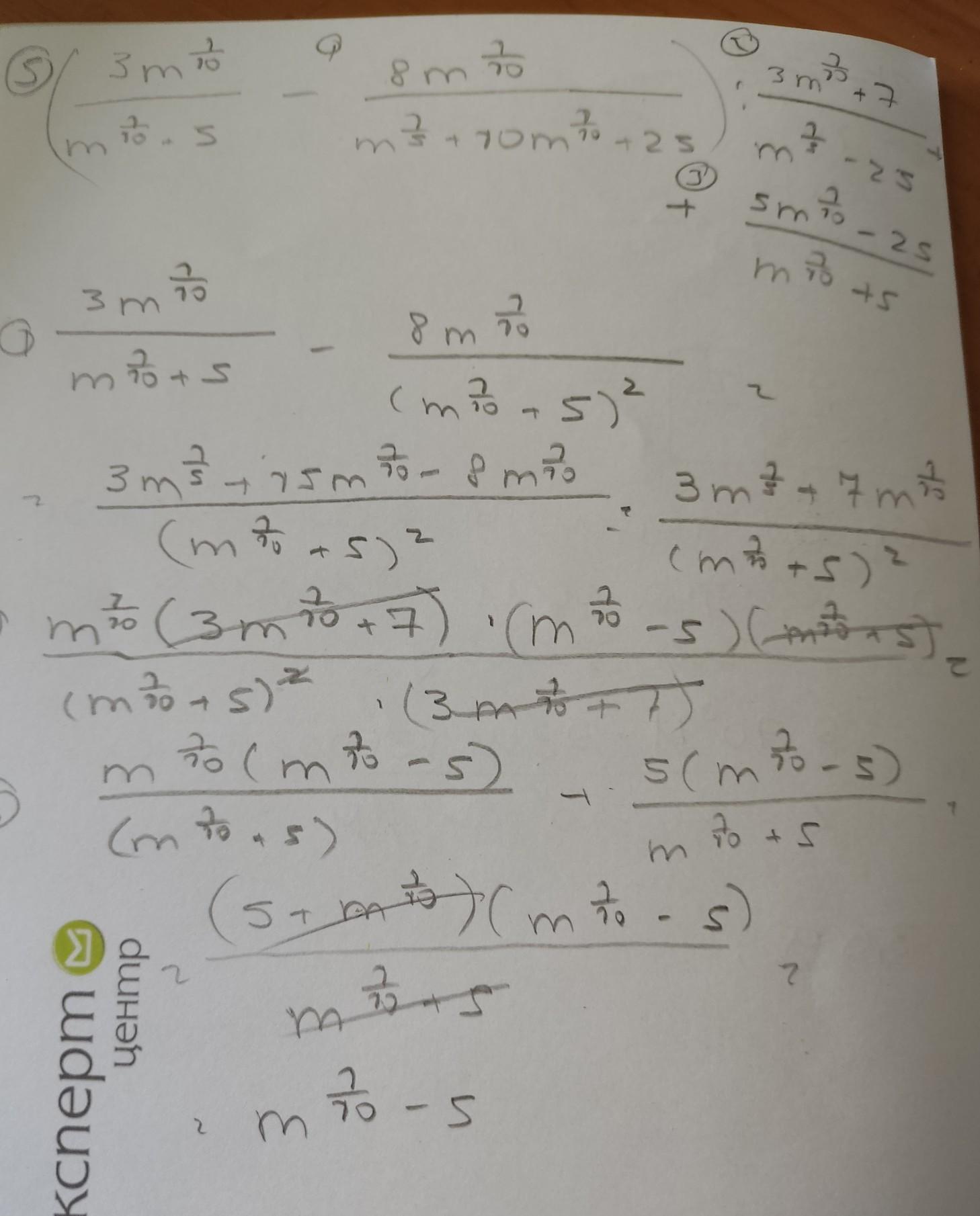
Помогите,срочно нужно сделать,даю 50 баллов,на фото задание

Приложения:

IPAZ6Rasul: Ууу. Легко, но долго.
Julia45788: Пожалуйста помогите

Ответы

Ответ дал: iamheretobebetter
1

Ответ:

вроде как-то так

Объяснение:

ответы на фото

Приложения:

Julia45788: спасибо большое
Вас заинтересует