• Предмет: Алгебра
  • Автор: SwiTySo2
  • Вопрос задан 3 года назад

Помогите пожалуйста с алгеброй

Приложения:

Ответы

Ответ дал: shushka246
1

1) 2х+9/4-х-2/6=3

3(2х+9)-2(х-2)/12=3

6х+27-2х+4/12=3

4х+31=36

4х=5

х=5/4

х=1,25

Вiдповiдь: 1,25.

2) |5х-1|=4

5х-1=4 або 5х-1= -4

5х=5 або 5х= -3

х=1 або х= -0,6

Вiдповiдь: 1; -0,6.


shushka246: якщо можна найкращу вiдповiдь
Ответ дал: sangers1959
1

Объяснение:

1)

\displaystyle\\\frac{2x+9}{4} -\frac{x-2}{6} =3\ |*12\\3*(2x+9)-2*(x-2)=3*12\\6x+27-2x+4=36\\4x=5\ |:4\\x=1,25.

Ответ: x=1,25.

2)

|5x-1|=4\\

Раскрываем модуль - получаем систему уравнений:

\displaystyle\\\left \{ {{5x-1=4} \atop {5x-1=-4}} \right. \ \ \ \ \ \left \{ {{5x=5\ |:5} \atop {5x=-3\ |:5}}   \right. \ \ \ \ \ \left \{ {{x_1=1} \atop {x_2=-0,6}} \right. .

Ответ: x₁=1,  x₂=-0,6.

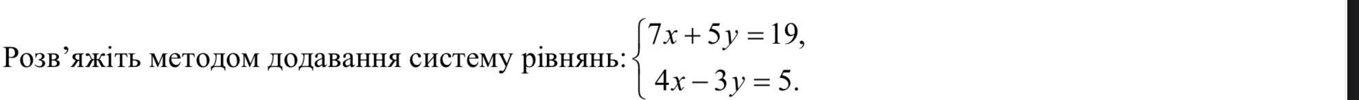
3)

\displaystyle\\\left \{ {{7x+5y=19\ |*3} \atop {4x-3y=5\ |*5}} \right. \ \ \ \  \ \left \{ {{21x+15y=57} \atop {20x-15y=25}} \right. \ \ \ \ \ \Rightarrow\\

Суммируем эти уравнения:

41x=82 |:41

x=2.      ⇒

7*2+5y=19

14+5y=19

5y=5 |:5

y=1.

Ответ: (2;1).

Вас заинтересует