• Предмет: Физика
  • Автор: artemsankov2009
  • Вопрос задан 3 года назад

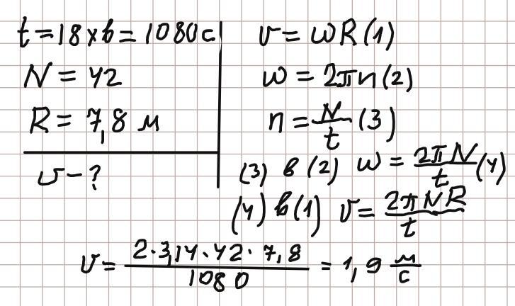
За 18 хвилин карусель обертається 42 разів. З якою швидкістю ти кататимешся на такій каруселі, якщо в момент обертання твоє сидіння знаходитиметься на відстані 7,8 м від обертального стовпа?

Ответы

Ответ дал: onetfriend
1

Ответ:

6,86 км/ч

Объяснение:

Сиденье движется по окружности радиусом r=7,8 м и длиной

L=2пr=2*3,1415*7,8 ≈ 49 м.

За 18 минут карусель делает 42 оборота, за 60 минут (1 час) карусель сделает x оборотов.

18 мин - 42 оборота

60 мин - x оборотов

x=60*42 /18 = 140 оборотов.

За это время сиденье проделает путь в 49 м * 140 = 6860 метров или 6,86 км.

Откуда скорость  движения равна 6,86 км/ч

Ответ дал: zybkov1950
3

Відповідь: 1,9 м/с

Пояснення:

Приложения:
Вас заинтересует