Коли до пружини підвісили вантаж, вона розтяглася на 20 см. Вантаж відвели вниз і відпустили. Визначте період Т коливань, що виникли після цього.
ВикаБач:
T=2п*sqrt(m/k); mg=kx; k=mg/x; T=2п*sqrt(mx/mg) = 2п*sqrt(x/g)=2*п*sqrt(0.2/9.81)=0.9c;
Ответы
Ответ дал:
1
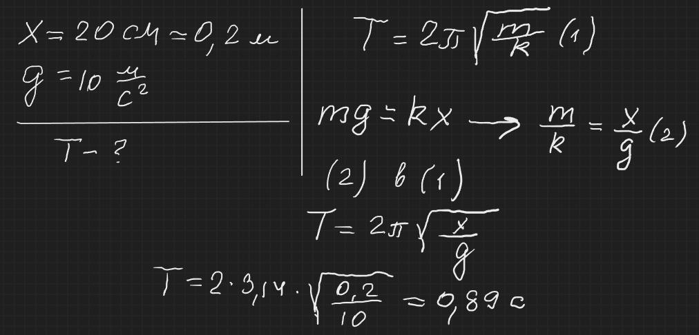
Відповідь: 0,89 с
Пояснення:
Приложения:

Ответ дал:
1
Ответ: 0,9с
Объяснение:
Дано:
х=20см=0,2м
g=9,81Н/кг
---------------
T-?
T=2π*√(m/k);
mg=kx;
k=mg/x;
T=2π*√(mx/mg) = 2π*√(x/g)=2*3,14*√(0,2/9,81)=0,9c;
Вас заинтересует
2 года назад
2 года назад
2 года назад
2 года назад
7 лет назад
7 лет назад
9 лет назад