• Предмет: Алгебра
  • Автор: darks2048
  • Вопрос задан 3 года назад

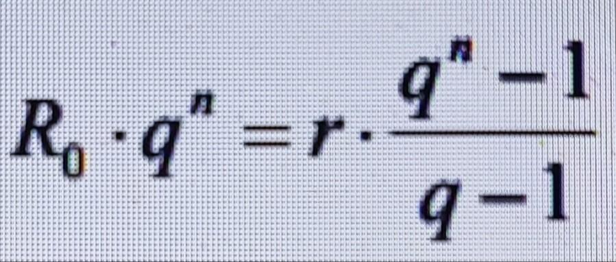
Необходимо найти n. Условие на фото.​

Приложения:

ВикаБач: R0*q^n -r*q^n/(q-1) = -r/(q-1); q^n*(R0-r/(q-1) = -r/(q-1); q^n = r(1-q) : (R0-r/q-1); Дальше логарифм, ну и "красоту навести".
darks2048: так я к этому и привел) как дальше логарифм сделать? Типо в основании q, в аргументе то что после тире(справа), ну и этот логарифм равен n ?
ВикаБач: да. ну если не требуется какой-то специальный логарифм(двоичный, десятичный, натуральный... тогда ещё коэффициент перехода, а так n=logq(выражение)).
NNNLLL54: см. ответ

Ответы

Ответ дал: NNNLLL54
1

Ответ:

Выразим  n  из равенства .

R_0\cdot q^{n}=r\cdot \dfrac{q^{n}-1}{q-1}\\\\\\R_0\cdot q^{n}\cdot (q-1)=r\cdot (q^{n}-1)\\\\\\R_0\cdot q^{n}\cdot (q-1)-r\cdot q^{n}=-r\\\\\\q^{n}\cdot \Big(R_0(q-1)-r\Big)=-r\\\\\\q^{n}=\dfrac{-r}{R_0(q-1)-r}\\\\\\q^{n}=\dfrac{-r}{R_0q-R_0-r}\\\\\\q^{n}=\dfrac{r}{r+R_0-R_0q}\\\\\\n=log_{q}\ \dfrac{r}{r+R_0-R_0q}\ \ ,\ \ \ q > 0\ ,\ q\ne 1\ ,\ \ \dfrac{r}{r+R_0-R_0q} > 0    


ВикаБач: Красоту можно вечно наводить, например -log(1+(R0/r)(1-q). Так физики, обычно, любят.
darks2048: Вика, я понял
Вас заинтересует