• Предмет: Физика
  • Автор: ivanova400066
  • Вопрос задан 3 года назад

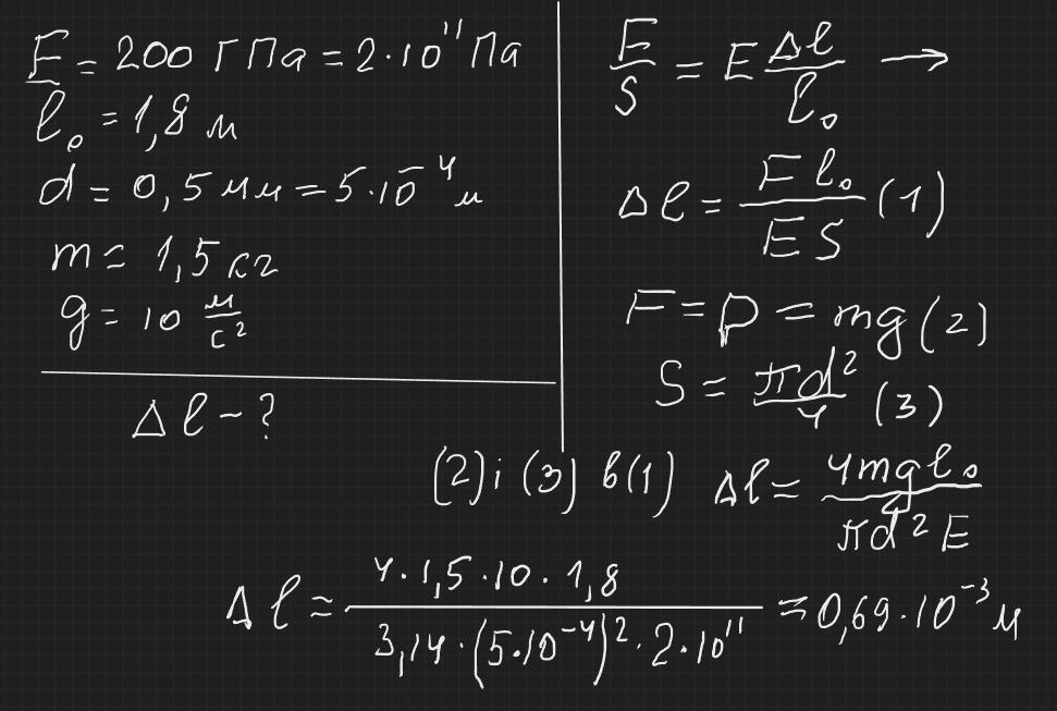
До залізного дроту діаметром 0,5 мм і довжиною 1,8 м підвішено вантаж 1,5 кг. На скільки видовжиться дріт?

Ответы

Ответ дал: zybkov1950
1

Відповідь: ≈ 0,69 мм

Пояснення:

Приложения:
Вас заинтересует