помогите пожалуйста, если не сложно, то напишите объяснение
Приложения:

ВикаБач:
Так как а>0, на него можно разделить. Получим 2/3<1; 1/3=7/21<9/21=3/7.
Ответы
Ответ дал:
1
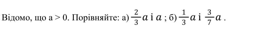
Ответ:
2/3a<a 1/3a<3/7a
Пошаговое объяснение:
2/3a это меньше целого
1/3 и 3/7 к общему знаменателю
7/21 и 9/21
9/21 больше а значит 3/7 тоже
Ответ дал:
0
Ответ:
2/3a<a 1/3a<3/7a
Пошаговое объяснение:
2/3a<a 1/3a<3/7a
Вас заинтересует
2 года назад
2 года назад
2 года назад
7 лет назад