• Предмет: Математика
  • Автор: angelina8malkhasyan
  • Вопрос задан 3 года назад

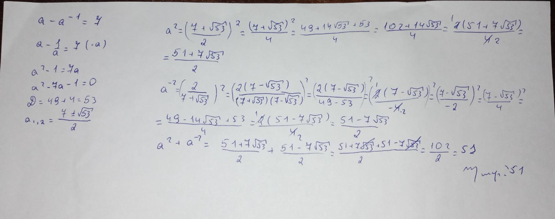
a + a-2, եթե a +a-1= 7

Приложения:

Ответы

Ответ дал: Evgenia4836
1

Ответ:

51

Пошаговое объяснение:

a^2+a^{-2}=a^2+\frac{1}{a^2} - искомое

a-a^{-1}=7\\a-\frac{1}{a}=7

возведем обе части в квадрат:

(a-\frac{1}{a})^2=7^2\\ a^2-2+\frac{1}{a^2}=49\\ a^2+\frac{1}{a^2}=51


angelina8malkhasyan: Спасибо большое,я получила 47 вместо 51 из за знака ❤️
Аноним: https://znanija.com/task/49771012
https://znanija.com/task/49424634
что было не так в этих задачах? все так, я вас уверяю
а удалила их татМих потому что... а собственно почему? да х*ен его знает. просто она модератор и ей так захотелось
Ответ дал: sahakyanlilit15
1

Пошаговое объяснение:

կարող ես փորձես Photomath ծրագիրը օգտագործես, լուծումը մանրամասն ցույց ա տալիս։ Ես մի քիչ օգտվեցի))) Հուսով եմ օգնեցի

Приложения:

angelina8malkhasyan: ապրես շատ ❤️
Вас заинтересует