• Предмет: Алгебра
  • Автор: up050705
  • Вопрос задан 3 года назад

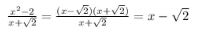
сократить дробь x^2-2/x-√2​

Ответы

Ответ дал: annasulzenko23
1

Надеюсь,что помогла вам)

Приложения:
Вас заинтересует