• Предмет: Математика
  • Автор: fishdamir
  • Вопрос задан 3 года назад

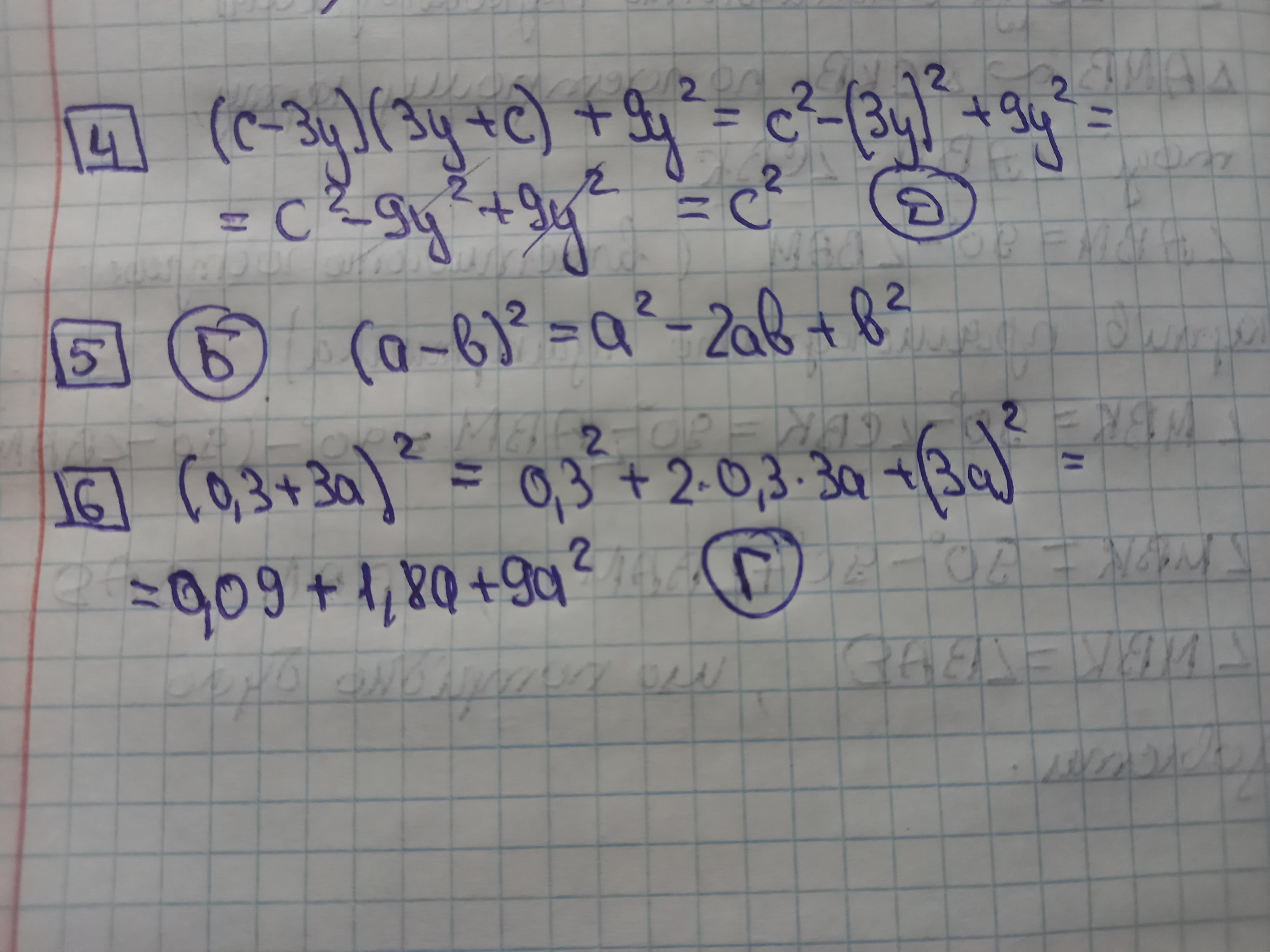
4. Спрости вираз (с-3y)(3y+c)+9у². A 18y2 - c2; Б 9у²; B c² + 18y2; го; Д ². 5. Познач формулу квадрата рiзницi двох виразів. A (a - b)² = a² + 2ab + b²; Б (a - b)² = a² - 2ab+b²; (a-b)² = (a - b) · (a + b); Г (a - b)² = a² - ab + b²; Д(a - b)² = a² - b². 6. Подай вираз (0,3+3a) у виглядi многочлена. A 0,09 + 9a2; Б в Г B 0,09 +0,9а + 9a²; 0,09 + 9а2; 0,09 + 1,8а + 9a²; д 0,09 + 3а².​

Приложения:

Аноним: это совсем уже нужно *хуеть

Ответы

Ответ дал: aarr04594
0

Відповідь:

фото

Покрокове пояснення:

Приложения:
Вас заинтересует