• Предмет: Алгебра
  • Автор: nadezdasirostan065
  • Вопрос задан 3 года назад

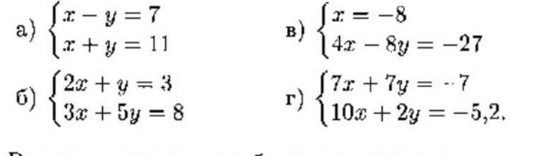
помогите пожалуйста решить методом сложения ​

Приложения:

Ответы

Ответ дал: warfacexui2
0

Ответ:

В закрепе

Объяснение:

В закрепе

Приложения:
Ответ дал: iramazurk
1

Объяснение:

А

х - у = 7

х + у = 11

2х = 18

х + у = 11

1)

2х = 18

х = 18 : 2

х = 9

2)

х + у = 11

9 + у = 11

у = 11 - 9

у = 2

Ответ: (9; 2)

Б

2х + у = 3 | * -5

3х + 5у = 8

-10х - 5у = -15

3х + 5у = 8

-7х = -7

3х + 5у = 8

1)

-7х = -7

х = -7 : (-7)

х = 1

2)

3х + 5у = 8

3 * 1 + 5у = 8

3 + 5у = 8

5у = 8 - 3

5у = 5

у = 5 : 5

у = 1

Ответ: (1; 1)

В

х = -8

4х - 8у = -27

4х - 8у = -27

4 * (-8) - 8у = -27

-32 - 8у = -27

8у = -32 - (-27)

8у = -32 + 27

8у = -5

у = -5 : 8

у = -0,625

Ответ: (-8; -0,625)

Г

7х + 7у = -7

10х + 2у = -5,2 | * -3,5

7х + 7у = -7

-35х - 7у = 18,2

-28х = 11,2

7х + 7у = -7

1)

-28х = 11,2

х = 11,2 : (-28)

х = -0,4

2)

7х + 7у = -7

7 * (-0,4) + 7у = -7

-2,8 + 7у = -7

7у = -7 - (-2,8)

7у = -7 + 2,8

7у = -4,2

у = -4,2 : 7

у = -0,6

Ответ: (-0,4; -0,6)


nadezdasirostan065: спасибо большое
iramazurk: пожалуйста)
Вас заинтересует