• Предмет: Математика
  • Автор: littlelove76
  • Вопрос задан 3 года назад

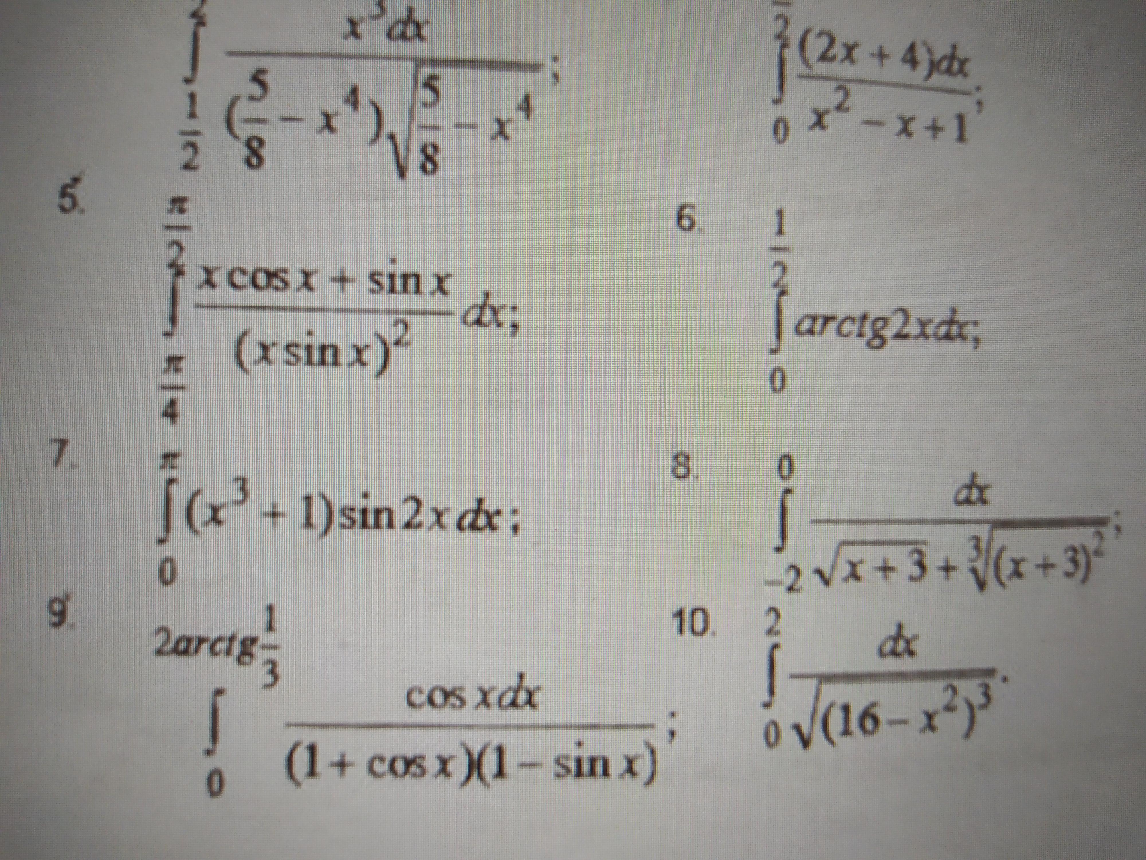
Пожалуйста, помогите решить интеграл (только - 5, 8, 9):

Приложения:

Ответы

Ответ дал: Alexandr130398
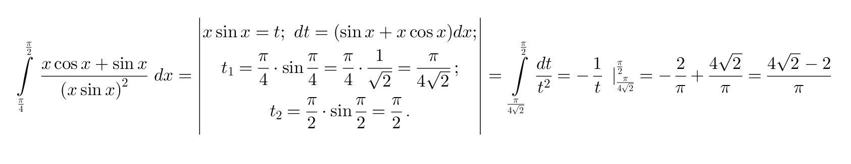
1

Ответ:

\frac{4\sqrt{2}-2}{\pi}

Пошаговое объяснение:

по одному надо отправлять задания, чтобы тебе быстро решили.

Напишу только №5 (решается заменой)

Приложения:
Вас заинтересует