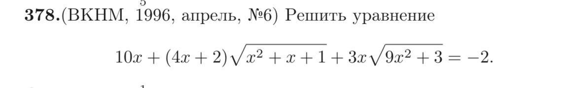
Решить уравнение. Кто-нибудь может помочь?
Приложения:

antonovm:
да , решение позже , красивая задача
Ответы
Ответ дал:
4
Ответ:
-0,2 ......................................
Пошаговое объяснение:
Приложения:

Вас заинтересует
2 года назад
2 года назад
2 года назад
2 года назад
7 лет назад
7 лет назад